Danh mục sản phẩm
Phụ kiện thang máy
Ý kiến chuyên gia
Cập nhật: 07-02-2023 08:28:27 | Ý kiến chuyên gia | Lượt xem: 738
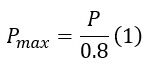
Khi xác định kích thước lắp đặt thang máy để đáp ứng nhu cầu của hành khách ở một mức hiệu suất xác định, nhà thiết kế lưu lượng thang máy chỉ định số lượng thang máy, tốc độ định mức, thời gian mở cửa, v.v., cộng với số lượng hành khách trung bình (P) sẽ được vận chuyển trong mỗi chuyến.
Nhà thiết kế điều chỉnh sự thay đổi thống kê về số lượng hành khách bằng cách ước tính số lượng hành khách tối đa (Pmax) được vận chuyển bằng cách sử dụng công thức:
.jpg)
Sau đó, bạn có thể thấy trên tem thang dán trong cabin thể hiện 17 hành khách. Nhưng thực tế thì chúng ta lại thường thấy cabin không tải đủ số hành khách thể hiện trên tem thang.
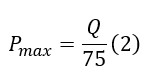
Tem thang cho biết tải trọng định mức (Q) và xác định số lượng hành khách tối đa (Pmax) có thể được vận chuyển an toàn theo công thức từ Tiêu chuẩn châu Âu EN 81-20:2020 (Tiêu chuẩn ISO 8100-1:2019):

và kết quả làm tròn xuống số nguyên gần nhất.
Số 75 bắt nguồn từ giả định một người nặng trung bình 150lb (68kg) và đứng trong một diện tích 2ft2 (0,186m2). Giả định này được đưa ra vào tháng 7 năm 1935 bởi Hội đồng Quốc gia về Công nghiệp Xây dựng của Anh, trong đó nêu rõ là tem thang phải được dán ở vị trí dễ thấy và ít nhất phải có các đặc điểm:
(i) Tải trọng tối đa của thang (chở hàng) tính bằng đơn vị tạ hoặc lbs (tính bằng pound).
(ii) Tải trọng tối đa của thang (chở khách), trong đó quy ước mỗi khách nặng trung bình 150lbs (68kg).
Ủy ban tiêu chuẩn Châu Âu (CEN – European Committee for Standardization) đã cập nhật và tăng ước tính này lên 75kg trong lần sửa đổi tiêu chuẩn BSI/EN 81 vào năm 1985.
Hình 1: Trích từ Quy tắc 1943 Tải trọng định mức, khối lượng
Vào tháng 5 năm 1943, Hội đồng Quốc gia về Công nghiệp Xây dựng của Anh đã sửa đổi Quy tắc thực hành cho thang máy điện tải hàng và tải khách (Code of Practice for Electric Passenger & Goods Lifts and Escalators – COP) năm 1935 của họ để bao gồm một biểu đồ, như được thể hiện trong Hình 1. Biểu đồ này hiển thị một biến phụ thuộc trên trục tung bên phải là số lượng hành khách và trên trục tung bên trái là trọng lượng của chúng tính bằng pound (lb). Biến độc lập là trục hoành chính là diện tích sàn cabin. Trọng lượng hành khách giả định vẫn là 150lb cho mỗi hành khách. Đường kẻ biểu thị mối quan hệ giữa tải trọng định mức và diện tích sàn cabin.
Biểu đồ là phi tuyến tính và bắt đầu với tải sàn cabin ở 75lb/ft2 và kết thúc ở 120lb/ft2 (xem chú thích của Hình 1). Hội đồng đã đưa ra sự phi tuyến tính này vào năm 1943, vì lo sợ rằng có quá nhiều người sẽ lên các thang máy lớn hơn và quá tải. Các phiên bản của biểu đồ này đã được đưa vào tiêu chuẩn BS2655, Phần 1:1958.
Những người viết tiêu chuẩn năm 1985 đã lấy Bảng 1 và chọn một dãy số Renard và với một số thao tác, tạo ra Bảng 1.1. Bảng 6 trong cả tiêu chuẩn EN 81-20:2020 và ISO 8100-1:2019 đều giống với Bảng 1.1 năm 1985 và được trình bày ở trên như Bảng 1.

Bảng 1: Bảng 6 từ tiêu chuẩn EN 81-20:2020
Số lượng hành khách định mức (làm tròn xuống), với hành khách nặng 75kg, có thể chứa ở cột 3/7. Trong cột 4/8, bạn sẽ thấy không gian mà mỗi hành khách được phân bổ.
Hành khách trên cabin tải trọng 450kg có không gian cá nhân là 0,22m2 (1,30/6), nhưng hành khách trên cabin tải trọng 2500kg có không gian cá nhân là 0,15m2 (5,00/33). Khoảng không hành khách không bị thu hẹp lại khi cabin ngày càng lớn hơn. Hành khách bắt đầu xâm nhập vào không gian cá nhân của người khác (được hiển thị gạch ngang trong Hình 2). Cuối cùng, không còn khoảng trống (đường liền nét trong Hình 2). Hành khách không chịu được điều này và cảm thấy khó chịu.

Hình 2: Có chỗ cho một người nữa không?
Công thức trước đây được sử dụng không còn ý nghĩa nữa. Hãy áp dụng tính tuyến tính để tạo nên công thức mới.
Đề xuất trong Hướng dẫn D:1993 của Tổ chức Kỹ sư Dịch vụ Tòa nhà (CIBSE), rằng “diện tích đứng” cho một người nặng 75kg phải là 0,21m2. Điều này hiện đã được trích dẫn rộng rãi và được chấp nhận.
Áp dụng yêu cầu không gian này, diện tích cabin cho một cabin 33 người sẽ là 6,93m2 (33 × 0,21).
Đề xuất ở đây là diện tích tối đa có sẵn cho một tải trọng định mức cụ thể nên được tăng lên để phù hợp với số lượng hành khách chứ không phải trọng lượng của họ.
Bảng 6 trong tiêu chuẩn EN 81-20/ISO 8100 sẽ được sửa đổi để phản ánh thực tế tuyến tính.
Đối với một loạt các tải trọng định mức, Bảng 2 cho thấy số lượng hành khách tối đa được phép mà mỗi hành khách nặng 75kg và diện tích cabin tối đa có sẵn được yêu cầu là 0,21m2 cho mỗi hành khách.

Bảng 2: Đề xuất sửa đổi tiêu chuẩn EN 81-20, Bảng 6, cho thang máy cáp kéo và thang máy thủy lực
Bảng thông số trong cabin không nên thể hiện số lượng hành khách. Lý do là trọng lượng trung bình của một hành khách thay đổi tùy theo quốc gia và khu vực trên thế giới. Xem Hướng dẫn CIBSE D:2020, Bảng A2.2 về Chỉ số Diện tích Cơ thể (Body Area Index – BAI), tiêu chuẩn EN 81-20:2020, Bảng 8, cho biết số lượng hành khách và diện tích cabin tối thiểu hiện có, hiện đã dư thừa và có thể xóa được.
Bảng 7 trong tiêu chuẩn EN 81-20:2020 tăng không gian cho mỗi tải trọng định mức, nhưng ít khi sử dụng. Ví dụ trong tiêu chuẩn có chỉ ra mối liên hệ giữa hai biến: tải trọng định mức và diện tích khả dụng. Do đó, thang máy với tải trọng 6000kg cần có khung cabin, giảm chấn, thắng cơ, v.v., phù hợp với thang 11.300kg
Ví dụ nên đặt hai câu hỏi:
– “Cần có không gian nào để chứa tải trọng 6000kg?”
– “Tải trọng định mức nào có thể chứa trong thang máy với diện tích cabin khả dụng là 19,04m2?”
Các câu trả lời, bằng cách sử dụng Bảng 2:
– 16,8m2
– 6.800kg
Không. Tải trọng định mức luôn là biến số an toàn chính. Lấy tải trọng định mức và chia cho 75 rồi nhân với 0,21 sẽ được diện tích cabin khả dụng cần thiết. Ngoài ra, nếu biết diện tích cabin, tải trọng định mức nhận được bằng cách chia diện tích cabin cho 0,21 và nhân với 75kg.
Ngày nay, các thiết bị cân tải trọng hiện đại giúp ngăn chặn mọi trường hợp quá tải, ví dụ như nếu hàng hóa nặng được đưa lên cabin.
Do đề xuất tăng diện tích cabin hiện có này, chúng ta có thể:
– Vận chuyển nhiều người hơn trong các cabin và có thể tiết kiệm năng lượng cho cùng một tải trọng định mức.
– Vận chuyển cùng một số lượng người trong thang máy với tải trọng định mức thấp hơn.
– Thiết kế xác định số lượng hành khách trung bình được chuyên chở là 13,6 người. Số lượng hành khách tối đa theo (1) là 17,0 hành khách. Từ Bảng 2, thang máy có tải trọng định mức là 1275kg sẽ được chọn.
– Hiện đại hóa thang máy với diện tích dành cho cabin là 3,47m2. Tải trọng định mức mới sẽ là bao nhiêu và có thể vận chuyển bao nhiêu hành khách?
Thêm vào Bảng 2, thang máy phải có tải trọng định mức là 1240kg. Trung bình nó có thể vận chuyển 16,5 hành khách. Trong thực tế, tải trọng thang máy sẽ là 1275kg.
Tiêu chuẩn Châu Âu EN 81-20:2020 (trước đây là tiêu chuẩn EN 81-20:2014) với tiêu đề Quy tắc an toàn trong cấu tạo và lắp đặt thang máy – Phần 20: Thang máy chở người và hàng hóa được qui định bởi Ủy ban tiêu chuẩn Châu Âu (CEN). Gần đây, CEN đã làm việc chặt chẽ với Ủy ban Kỹ thuật liên quan của Tổ chức Tiêu chuẩn hóa Quốc tế, ISO, chuyển đổi tiêu chuẩn EN 81-20/50 sang các tiêu chuẩn ISO với các qui định giống hệt nhau dưới tên gọi tương ứng là ISO 8100-1:2019 và ISO 8100-2:2019./.
>>> Có thể bạn quan tâm: Lựa Chọn Nguồn Điện Dự Phòng Cho Thang Máy
Thang Máy Tân Phát là một trong những công ty chuyên kinh doanh, lắp đặt thang máy hàng đầu tại Quảng Ninh. Tân Phát cam kết đem lại cho khách hàng những sản phẩm thang máy chất lượng nhất với nhiều ưu đãi và chính sách mua hàng hấp dẫn. Liên hệ ngay để nhận được những lời tư vấn giá trị đến từ kỹ sư nhiều kinh nghiệm:
-----------------------------------